Керівник апарату Бердянської міської військової адміністрації управляє двома відділами та отримує найбільшу зарплатню в БМВА. Хто така Інна Кривоніс, скільки їй платять, а також яку зарплатню отримують інші керівники військової адміністрації читайте в матеріалі «Бердянськ 24».
Зарплата, премія, надбавка та допомога
Наразі Бердянська міська військова адміністрація нараховує 39 працівників. Вона налічує 9 відділів та один сектор. Крім начальника керівництво складається з його двох заступників, радника та керівника апарату. Останню посаду обіймає дехто Кривоніс Інна Віталіївна.
З вільних джерел «Бердянськ 24» дізнався, що вона є жителькою Запоріжжя та раніше працювала в мерії помічником міського голови, а потім заступником директора з економічних питань департаменту освіти і науки Запорізкої міськради. До того Кривоніс була головним ревізором-інспектором в управлінні Державної фіскальної служби у Дніпропетровській області. В БМВА Кривоніс працює з 2022 року. Обіймаючи керівну посаду вона не є держслужбцем.
Наша редакція відправила кілька запитів до БМВА, щоб дізнатись, яку роботу виконує пані Кривоніс та скільки їй за це платять. Отже, вона займається кадровими питаннями, веде документообіг, приймає кореспонденцію та контролює обробку запитів від громадян. Тобто, якщо коротко, є чимось середнім між адміністратором і секретарем. Кривоніс керує двома відділами БМВА: управління персоналом (тобто відділ кадрів) і організаційної роботи, діловодства та розгляду звернень громадян (по простому приймальна начальника). Загалом у неї вісім підлеглих.
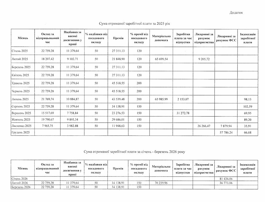
За свою роботу керівник апарату щомісяця отримує майже 23 тисячі гривень зарплатні. Начебто небагато, але є АЛЕ. Щомісяця їй нараховується премія в розмірі від 120 до 200% від зарплатні, а також надбавка «за високі досягнення у праці» в розмірі 50% від зарплатні. Минулого місяця дохід Кривоніс склав понад 68 тисяч гривень.
У 2025 році дохід Кривоніс від роботи в БМВА склав 1,2 мільойна гривень. Про це «Бердянськ 24» дізнався з її декларації.
Крім того, БМВА надає своїм працівникам матеріальну допомогу, якою користується й керівник апарату. Так в лютому 2026 року Кривоніс отримала понад 70 тисяч гривень такої підтримки. Минулого року Кривоніс двічі отримувала матеріальну допомогу від БМВА, сукупний розмір якої склав понад 130 тисяч гривень. Лікарняні за три місяці зими склали майже 176 тисяч гривень. За непідтвердженою інформацією, Кривоніс постраждала під час обстрілу Запоріжжя та пошкодження будівлі БМВА. Однак які саме травми вона отримала та наскільки вартісного лікування потребувала невідомо.

Міста нема – виконком є. І отримує гроші
Як окрема структура в підпорядкуванні БМВА залишається виконавчий комітет на чолі з керуючим справами виконкому Олексієм Юрченком. Він відповідальний за роботу дев’яти відділів, у яких працює 41 людина. В теорії це в п’ять разів більше підлеглих і в чотири рази більше роботи, ніж в Інни Кривоніс. Та чи вища зарплатня?
Зі звітів, які нам надали в БМВА, місячна зарплатня Юрченка складає понад 25 тисяч гривень. А також 50% надбавки «за високі досягнення у праці» та 100-150% премії. Отже, загалом він отримує близько 62 тисяч гривень на місяць.
Варто зазначити, що Олексій Юрченко їздить в оплачувані відрядження. Вони коштують бюджету БМВА до 15 тисяч гривень на місяць. Також керуючий справами виконкому не гребує матеріальною допомогою. В березні він отримав майже 70 тисяч гривень підтримки.
Зарплата у начальника менше, ніж у підлеглих?
«Бердянськ 24» також ознайомився з доходами начальника БМВА Миколи Матвієнка та з’ясував, що керівник апарату Інна Кривоніс і керуючий справами виконкому Олексій Юрченко отримують більше за нього. Для порівняння дохід пана Матвієнка разом з премією та надбавкою в середньому складає близько 55 тисяч гривень на місяць. Нагадаємо, зарплатня пана Юрченка близько 62 тисяч, а пані Кривоніс 68. З декларації Миколи Матвієнка ми дізнались, що його офіційний дохід за 2025 рік склав понад 900 тисяч гривень. Це майже на 300 тисяч менше, ніж у Кривоніс.
Також, начальник військової адміністрації, ймовірно, має матеріальні проблеми. Адже в лютому 2026 року він отримав понад 55 тисяч гривень матеріальної допомоги. Також схоже, що Микола Матвієнко, як і Інна Кривоніс, має проблеми зі здоров’ям. За грудень-січень він отримав майже 30 тисяч гривень лікарняних. Однак і матеріальна допомога і лікарняні значно начальника БМВА менші, ніж у керівника апарату.
Питань більше, ніж відповідей
Отже, редакція «Бердянськ 24» дізналась скільки отримують керівники БМВА та її склад. Втім залишаються питання, на які нам ніхто не дасть відповідь.
- Чому в Бердянській міській військовій адміністрації працює людина не з нашої громади?
- Чому керуючи лише двома відділами вона отримує значно більшу зарплатню, ніж керуючий справами виконкому та навіть начальник БМВА?
- Чому бердянська влада, не маючи доступу до міста та його інфраструктури через окупацію та надаючи матеріальну допомогу лише пільговим категоріям бердянців, маючи лише три гуманітарних штаби по всій країні, нараховує собі зарплатні, які до десяти разів перевищують мінімальну? (за даними Мінфіну станом на січень 2026 року мінімальна заробітна платня в Україні становить 8647 гривень – ред.)













