К новому году, правительство подготовило еще один "подарок" бердянцам. Наряду с отоплением дорожает и вода со стоками
В связи с изменением с 01.01.2015 года действующих тарифов на услуги по централизованному водоснабжению и водоотводу для потребителей г. Бердянска, КП “Бердянскводоканал” СМР предоставляет следующую информацию:
– Постановление Национальной Комиссии, осуществляющей государственное регулирование в сферах энергетики и коммунальных услуг, от 16.12.2014г. №800 “Об установлении тарифов на централизованное водоснабжение и водоотвод КП” Бердянскводоканал “Бердянского городского совета”;
Обоснование причины изменения тарифов;
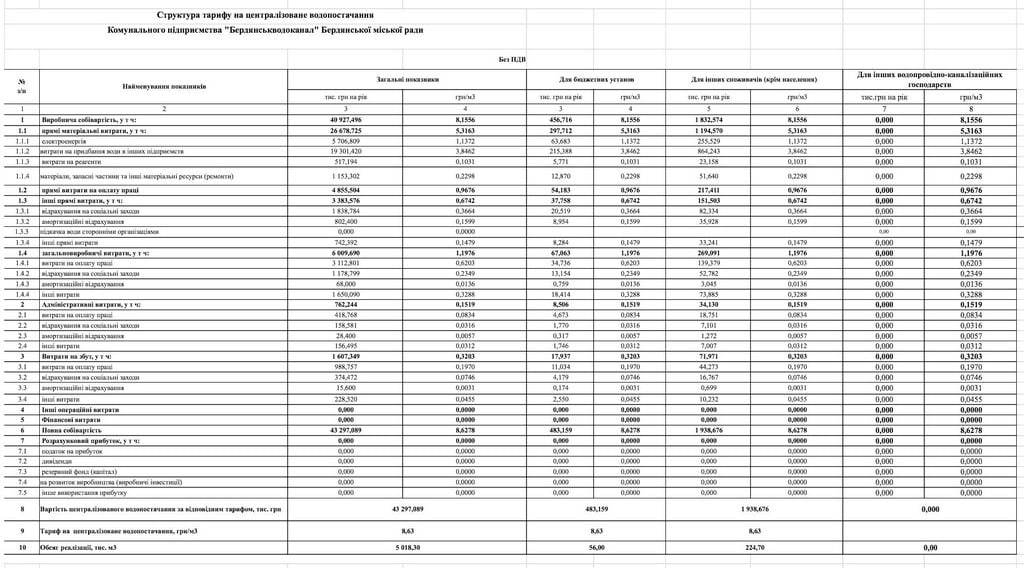
- Структура тарифа на услуги по централизованному водоснабжению;
- Структура тарифа на услуги по централизованному водоотводу.
Обоснование причин изменения тарифов КП “Бердянскводоканал” на услуги по централизованному водоснабжению и водоотводу для потребителей
Действующие тарифы КП “Бердянскводоканал” на услуги водоснабжения и водоотведения были приняты для населения постановлением Национальной Комиссии, осуществляющей государственное регулирование в сфере коммунальных услуг от 10.02.2012р. № 110 и введены в действие с 03.03.2012р. в размере:
- Централизованное водоснабжение – 5,15 грн. / М3 без НДС
- Централизованное водоотведение – 3,77 грн. / М3 без НДС.
За время действия этих тарифов произошел значительный рост фактической себестоимости этих услуг за счет различных объективных факторов, в частности по основным статьям расходов:
- Рост минимальной заработной платы с 625 грн. в 1218 грн. на 94,9%, соответственно, рост начислений на заработную плату;
- Рост стоимости электроэнергии – с 0,70 грн. / КВт / ч до 1,36 грн. / КВт / ч или на 94,3%;
- Рост стоимости ГСМ – бензина АИ-92 с 5,32 грн. / Л до 15 грн. / Л (рост 182,0%), ДТ с 5,11 грн. / Л до 14,60 грн. / Л (рост 185,7%);
- Рост стоимости покупной воды с 2,26 грн. / М3 до 3,13 грн. / М3 или на 38,5%;
- Рост стоимости гипохлорита натрия с 1183 грн. / Т до 4698 грн. / Т на 297%.
Все эти экономические факторы привели к тому, что действующие тарифы КП “Бердянскводоканал” на услуги по централизованному водоснабжению и водоотводу стали убыточными и покрывают фактические затраты предприятия на предоставление этих услуг на 63%.
Это в свою очередь сказывается на нормальной деятельности предприятия. Так, несоответствие действующих тарифов на централизованное водоснабжение и водоотвод фактическим затратам привела к убыточности предприятия и возникновения задолженности за покупную воду, электроэнергию, не достаточным объемам проведения ремонтов, невозможности вложения инвестиций, внедрения новых технологий.
Новые тарифы КП “Бердянскводоканал” рассчитаны в соответствии с Порядком формирования тарифов на централизованное водоснабжение и водоотвод, утвержденным постановлением КМУ от 01.06.2011г. №869 “Об обеспечении единого подхода к формированию тарифов на жилищно-коммунальные услуги” и установлены постановлением Национальной комиссией, осуществляющей государственное регулирование в сферах энергетики и коммунальных услуг, от 16.12.2014 №800 в размере:
- Централизованное водоснабжение – 8,63 грн. / М3 без НДС
- Централизованное водоотведения – 7,45 грн. / М3 без НДС.
















